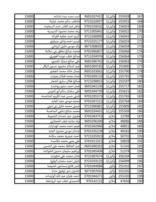
الدفعة الفرعية رقم (2) لمستحقي القروض الاسكانية العسكرية لشهر حزيران.

بلكي الإخباري
بلكي نيوز- اخبار الاردن
نشرت القيادة العامة للقوات المسلحة الأردنية - الجيش العربي اليوم الاثنين كشف الدفعة الفرعية رقم (2) لمستحقي القروض الاسكانية لشهر حزيران.
وقالت القيادة العامة إنه تم تحويلها الى بنك القاهرة عمان وفروعه داخل المملكة.
واضافت، على المذكورين مراجعة البنك لاستلام مستحقاتهم.
وتاليا الاسماء:
















